The OpenNET Project / Index page

[ новости /+++ | форум | теги | ]

Каталог документации / Раздел "Сети, протоколы, сервисы" / Оглавление документа

previous up down next index index
Previous: 2.1 Передача сигналов по линиям связи    UP: 2 Преобразование, кодировка и передача информации
Down: 2.4 Методы преобразования и передачи звуковых сигналов
    Next: 2.2 Представление электрических сигналов в цифровой форме

2.1.1 Влияние шумов и помех
Семенов Ю.А. (ГНЦ ИТЭФ)

Шумы определяют емкость канала и задают частоту ошибок при передаче цифровых данных. Шум по своей природе нестабилен и можно говорить лишь о том, что его величина с некоторой вероятностью лежит в определенном интервале значений. Плотность вероятности p(x) определяет вероятность того, что случайный сигнал X имеет значение амплитуды в интервале между x и x+Dx. При этом вероятность того, что значение х лежит в интервале между x1 и x2 определяется равенством:

, условием нормировки при этом является равенство . P(x) - вероятность, а p(x) - плотность вероятности. Вероятность того, что x меньше некоторой величины y равна , откуда следует, что P{x1 2} = P(x2) - P{x1}, а

Так называемый белый шум подчиняется непрерывному нормальному (Гауссову) распределению , где а - среднее значение x, а s - среднеквадратичное отклонение х от a. В случае шумов среднее значение х с учетом полярности часто принимает нулевое значение (а=0) .

В этом случае, если мы хотим знать вероятность того, что амплитуда шумового сигнала лежит в пределах v, то можно воспользоваться выражением

Для вычисления P{x1<x<-x1} обычно используются равенства
и . Тогда P{x1 1} = = .

Распределение P(x) обычно называется функцией ошибок (erf(x) = -erf(-x)). Полезной с практической точки зрения является вероятность

P{-ks s}=Pk(k s) = , которая позволяет оценить возможность того, что шумовой сигнал превысит некоторый порог, заданный значением k.

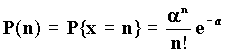
Из числа дискретных распределений наиболее часто используемым является распределение Пуассона.
, где n = 0, 1, 2, .; a=mP, m - число испытаний. Распределение Пуассона описывает вероятность процессов, где P<<1. При большом значении m отношение n/m приближается к значению вероятности P.
Среднее значение x , а для дискретного распределения . Среднеквадратичное отклонение s случайной величины х определяется как: , то же для дискретного распределения .

Как уже говорилось, во многих случаях шум имеет гауссово распределение с нулевым средним значением амплитуды. В этих случаях среднее значение мощности шумового сигнала равно вариации функции плотности вероятности. В этом случае отношение сигнал-шум будет равно

. Если шум носит чисто тепловой характер, то s 2=kTB. В общем случае s 2 = EnB [Вт], где полоса B измеряется в Гц, En энергия шума.

Шум определяет вероятность ошибки при передаче сообщения по каналу связи и, в конечном итоге, пропускную способность канала (см. теорему Шеннона; раздел 2.1 Передача сигналов по линиям связи ).

Previous: 2.1 Передача сигналов по линиям связи    UP: 2 Преобразование, кодировка и передача информации
Down: 2.4 Методы преобразования и передачи звуковых сигналов    Next: 2.2 Представление электрических сигналов в цифровой форме




Партнёры:
PostgresPro
Inferno Solutions
Hosting by Hoster.ru
Хостинг:

Закладки на сайте
Проследить за страницей
Created 1996-2026 by Maxim Chirkov
Добавить, Поддержать, Вебмастеру